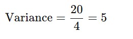
Articles → MACHINE LEARNING → Variance And Standard DeviationVariance And Standard DeviationThis article explains variance and standard deviation.What Is A Variance? Variance is the average of the squared differences from the mean. Consider the following collection.[2,4,6,8]The mean of the above collection is.Value (x)x − 5(x − 5)²2-394-11611839Sum of squares = 9 + 1 + 1 + 9 = 20Standard Deviation Standard deviation is the square root of variance.Posted By - Karan Gupta Posted On - Wednesday, February 4, 2026 Query/Feedback Your Email Id** Subject* Query/Feedback Characters remaining 250**
[2,4,6,8]
Query/Feedback