Articles → MACHINE LEARNING → R-Squared Statistical Metric

R-Squared Statistical Metric






Purpose





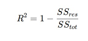
Formula


Picture showing the formula for calculating the r-squared


VariableDescriptionFormula
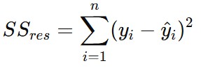
Picture showing the variable for Sum of squares of residualsSum of squares of residuals (errors)Picture showing the formula for calculating Sum of squares of residuals
Picture showing the variable for total sum of squaresTotal sum of squaresPicture showing the formula for calculating total sum of squares
Picture showing the variable to hold actual valuesActual value
Picture showing the variable to hold predicted valuesPredicted value
Picture showing the variable to hold mean of actual valuesmean of actual values



Interpretation Of R-Squared


R-Squared ValueMeaning
1Perfect fit — predictions match actual data exactly.
0The model predicts no better than the mean.
< 0The model performs worse than using the mean (bad model).
0 < R-Squared < 1The model explains some of the variance.





Posted By  -  Karan Gupta
 
Posted On  -  Friday, December 5, 2025

Query/Feedback


Your Email Id
 
Subject
 
Query/FeedbackCharacters remaining 250