Articles → NLP → How Does The Single Layer Perceptron Model Works

How Does The Single Layer Perceptron Model Works






How Does The Perceptron Work?




Picture showing the single-layer perceptron model




  1. Input layer
  2. Hidden layer
  3. Output layer



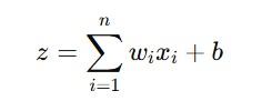
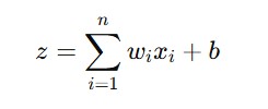
Hidden Layer




Picture showing how to calculate weighted sum in hidden layer





Weight Adjustment







Posted By  -  Karan Gupta
 
Posted On  -  Monday, March 16, 2026

Query/Feedback


Your Email Id
 
Subject
 
Query/FeedbackCharacters remaining 250